
Jednokładność to jedno z podstawowych pojęć w geometrii, z którym uczniowie spotykają się już na wczesnym etapie nauki, a które wraca w bardziej zaawansowanej formie na egzaminach i konkursach. W matematyce opisuje ona szczególny rodzaj przekształcenia, pozwalający badać zależności między figurami podobnymi, skalą oraz położeniem punktów w przestrzeni. Zrozumienie tego zagadnienia wymaga nie tylko zapamiętania definicji, ale także umiejętności analizy i interpretacji zależności geometrycznych.
Najważniejsze informacje, których dowiesz się z tego artykułu:
Zanim przejdziemy do wzorów i rozwiązywania przykładów, warto uporządkować najważniejsze pojęcia związane z tym zagadnieniem. Dobra znajomość terminów takich jak środek, skala czy obraz punktu pozwala lepiej zrozumieć sens geometryczny całego zagadnienia i ułatwia dalszą pracę z definicją oraz własnościami.
Jednokładność to przekształcenie geometryczne, w którym każdemu punktowi przyporządkowuje się punkt leżący na półprostej wychodzącej ze środka jednokładności.
Odległość punktu obrazu od środka jest równa wartości bezwzględnej współczynnika skali pomnożonej przez odległość punktu wyjściowego. Dla współczynnika dodatniego punkty leżą na tej samej półprostej, a dla ujemnego – na przeciwnej.
Odległość punktu obrazu od środka jest wielokrotnością odległości punktu wyjściowego, a wielokrotność tę określa współczynnik skali.
Formalna definicja mówi, że jest to przeobrażenie płaszczyzny określone przez:
Jeżeli k>0 obraz punktu leży po tej samej stronie środka, a gdy k<0 po stronie przeciwnej. W tym sensie jednokładność może być także rozpatrywana jako zmianę związaną z kierunkiem i zwrotem, podobnie jak wektor.
Wzory pozwalają przejść od opisu geometrycznego do obliczeń, dzięki czemu można precyzyjnie wyznaczać długości, współrzędne punktów oraz relacje między figurami przed i po zmianie.
W przykładach rachunkowych najczęściej wykorzystuje się wzory, które opisują zależność długości odcinków przed i po zmianie. Jeśli odcinek ma długość a’, to po jednokładności jego nowa długość wynosi: a′=|k|xa.
Oznacza to, że wszystkie odcinki zmieniają się proporcjonalnie, a figury pozostają podobne.
Zagadnienie to można interpretować również jako zmianę powstałą przed złożeniem odpowiednich operacji geometrycznych, takich jak przesunięcie, skalowanie i – w przypadku ujemnej skali – symetria środkowa. Takie spojrzenie bywa szczególnie przydatne w ćwiczeniach bardziej zaawansowanych.

Źródło: www.pixabay.com
W układzie współrzędnych zagadnienie to można zapisać za pomocą prostych równań. Jeżeli środek jednokładności znajduje się w punkcie (0,0), a punkt A(x,y) przechodzi w punkt A′(x′,y′), to zachodzi zależność:
x′=kx, y′=ky
Dzięki temu łatwo obliczysz współrzędne obrazu po przeobrażeniu.
Obliczanie skali przy jednokładności polega na porównaniu długości odpowiadających sobie odcinków przed i po przekształceniu. Skala jest ilorazem tych długości:

W praktyce:
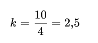
Treść: dany jest odcinek o długości 4 cm. Po jednokładności jego długość wynosi 10 cm. Oblicz skalę jednokładności.
Rozwiązanie: skalę obliczamy jako iloraz długości obrazu i oryginału:

Odpowiedź: skala jednokładności wynosi k=2,5.
Treść: punkt A(2,−1), poddano jednokładności o skali k=3 względem początku układu współrzędnych. Wyznacz współrzędne punktu A′.
Rozwiązanie: w jednokładności względem punktu (0,0) współrzędne mnożymy przez skalę:
x′=3×2=6, y′=3x(−1)=−3
Odpowiedź: punkt po jednokładności ma współrzędne A′(6,−3).
Jednokładność ma kilka istotnych własności, które pomagają szybko rozwiązywać przykłady:

Źródło: www.pixabay.com
Jednokładność ma zastosowanie nie tylko w ćwiczeniach szkolnych. Występuje m.in. przy:
Dobra znajomość tego zagadnienia znacząco poszerza matematyczną wiedzę i ułatwia rozwiązywanie zadań problemowych.
Jednokładność bardzo często pojawia się w zadaniach o podwyższonym stopniu trudności, także jako element bardziej złożonych konstrukcji geometrycznych. W takim wypadku znajomość wzorów nie wystarczy – potrzebne jest głębokie rozumienie przekształceń i ich własności.
Przygotowanie do Olimpiady Matematycznej z Indeksem w Kieszeni pozwala uporządkować wiedzę z geometrii, nauczyć się pracy z przekształceniami oraz rozwiązywać zadania krok po kroku, dokładnie tak, jak wymagają tego konkursy i egzaminy. To dobre wsparcie dla uczniów, którzy chcą rozwijać swoje umiejętności ponad standardowy program szkolny.
Jednokładność to przekształcenie, które warto dobrze opanować, ponieważ łączy w sobie elementy geometrii klasycznej i analitycznej. Znajomość definicji, wzorów oraz sposobów obliczania skali pozwala sprawnie rozwiązywać zadania egzaminacyjne i lepiej rozumieć zależności między kształtami. To jedno z tych zagadnień, które po zrozumieniu staje się intuicyjne i bardzo praktyczne.
Jednokładność to przekształcenie polegające na powiększeniu lub pomniejszeniu względem jednego punktu.
Tak, dane jednokładności są zawsze podobne do wyjściowych.
Rodzaj jednokładności zależy od wartości współczynnika skali – dodatniej, ujemnej lub równej 1.
Tak, bardzo często stanowi element bardziej złożonych zadań geometrycznych.

Strona przygotowana przez Zyskowni.pl

Zakładamy Ci konto na naszej platformie e-learningowej, na której znajdują się materiały, artykuły popularnonaukowe, czy nagrania video! Możesz tam bez ograniczeń kontaktować się ze swoim Opiekunem. Odpowiada on na Twoje pytania i sprawdza wysyłane do sprawdzenia prace.

Na platformie otrzymujesz moduły - zestawy materiałów z prezentacjami, skryptami, testami, kartkówkami. Z nimi pracujesz w dowolnym miejscu - w domu, w podróży, w bibliotece.

Na platformie, gdzie odbywa się kurs możesz zadawać pytania 24h na dobę 7 dni w tygodniu - Prowadzący są tam po to by zawsze Ci pomóc i rozwiać Twoje wątpliwości.

Twój progres w nauce jest kontrolowany wraz z każdym kolejnym modułem - służą temu wszelkie kartkówki, testy i sprawdziany, które rozwiązane odsyłasz i otrzymujesz szczegółowy klucz.

Celujesz w świetny wynik na egzaminie ósmoklasisty? A może potrzebujesz tylko usystematyzować posiadaną wiedzę? Nieważne - nasz kurs (tempo pracy i materiały oraz pomoc Prowadzącego) jest zawsze dopasowany do aktualnego stanu Twoich umiejętności i oczekiwań.

Na platformie otrzymasz nielimitowany w okresie przygotowań dostęp do nagrań video, na których nasz zespół merytoryczny przeprowadzi Cię przez najbardziej wymagające i najczęściej pojawiające się na arkuszu zagadnienia egzaminacyjne.
Indywidualny kurs e-learningowy
egzamin ósmoklasisty
Wolisz uczyć się we własnym tempie i na własnych zasadach? W takim razie kurs e-learningowy jest stworzony właśnie dla Ciebie!
Nowoczesna forma indywidualnej nauki zdalnej (start: natychmiast lub we wskazanym terminie)
Dostęp do dedykowanej platformy do nauki e-learningowej
Harmonogram przygotowań dostosowany do dostępności ucznia
Przypisany opiekun merytoryczny prowadzący kurs
Komplet materiałów podzielonych na moduły tematyczne, a w każdym z nich: prezentacje, testy, kartkówki, skrypty, karty pracy i zadania egzaminacyjne
Materiały video – do kursu dołączone są nagrania video, na których członkowie zespołu merytorycznego IWK tłumaczą najtrudniejsze lub najbardziej prawdopodobne w wystąpieniu na egzaminie zagadnienia
Indywidualne podejście – otrzymujesz dostęp do naszej dedykowanej platformy edukacyjnej z pomocami naukowymi, na której możesz bez ograniczeń kontaktować się ze swoim Opiekunem. Odpowiada on na Twoje pytania i sprawdza wysyłane prace.
Regularnie sprawdzane postępy
Ciągła możliwość kontaktu z Prowadzącym
Dzięki nowoczesnej formie nauki nasze kursy są dostępne dla uczniów z całej Polski – możesz dołączyć do nich niezależnie od miejsca zamieszkania i zacząć przygotowania już dziś! Skontaktuj się z nami i nie odkładaj decyzji na później – do egzaminu ósmoklasisty coraz bliżej!
Grupowy kurs całoroczny
egzamin ósmoklasisty
Chcesz solidnie przygotować się do egzaminu ósmoklasisty? Wolisz regularne zajęcia w grupie i stałe wsparcie prowadzącego? Jeśli tak, kurs grupowy będzie idealnym wyborem dla Ciebie!
46 godzin lekcyjnych zajęć (23 spotkania) + prace domowe
Forma stacjonarna (w salach w Warszawie) lub webinarowa (zajęcia online na żywo)
Nagrania z zajęć webinarowych oraz nagrania umożliwiające nadrobienie materiału osobom zapisującym się po rozpoczęciu kursów stacjonarnych
Możliwość wyboru grupy zajęciowej (harmonogram pojawi się w lipcu 2026 r.)
Pomoc pomiędzy zajęciami – ciągła możliwość kontaktu z Prowadzącym przez dedykowaną grupę zajęciową
Materiały z zajęć w formie cyfrowej
Regularne zajęcia pomagają utrzymać systematyczność w nauce i realnie wpływają na lepsze wyniki na egzaminie ósmoklasisty. Co roku wielu naszych uczniów z różnych części Polski osiąga wysokie rezultaty. Zapisz się na zajęcia już dziś i przygotuj się z nami do egzaminu ósmoklasisty!