
Rachunek prawdopodobieństwa może wydawać się abstrakcyjny, dopóki nie zobaczymy, jak często wykorzystujemy go w praktyce: w statystyce medycznej, badaniach opinii, analizie ryzyka czy nawet w grach losowych. Jednym z najważniejszych narzędzi w tej dziedzinie – i jednym z najczęściej pojawiających się na maturze rozszerzonej z matematyki – jest Schemat Bernoulliego, znany także jako rozkład dwumianowy.
Najważniejsze informacje, których dowiesz się z tego artykułu:
Interesuje Cię matematyka? Koniecznie poznaj także podstawowe informacje o liczbie π!
Statystyka i rachunek prawdopodobieństwa to dla wielu uczniów jedne z najmniej lubianych działów matematyki. Choć pozornie oderwane od geometrii, funkcji czy algebry, w praktyce stanowią fundament nauk stosowanych: medycyny, ekonomii, psychologii czy inżynierii. To właśnie dzięki rachunkowi prawdopodobieństwa możemy ocenić ryzyko, przewidywać zjawiska lub badać procesy losowe.
W podstawie programowej na maturę rozszerzoną z matematyki od kilku lat znajduje się jedno z kluczowych zagadnień tej dziedziny – Schemat Bernoulliego (zwany również rozkładem dwumianowym). Pozwala on obliczyć prawdopodobieństwo uzyskania dokładnie k sukcesów w n niezależnych próbach, gdzie każda próba ma jedynie dwa możliwe wyniki: sukces lub porażkę.

Źródło: pixabay.com
Schemat Bernoulliego dotyczy serii n niezależnych prób, gdzie każda próba ma stałe prawdopodobieństwo sukcesu p i porażki 1−p. Aby obliczyć prawdopodobieństwo uzyskania dokładnie k sukcesów w tych n próbach, wykorzystuje się następujący wzór:

Schemat Bernoulliego wzór
Gdzie:

Bardzo ważne: każde zdarzenie jest niezależne od siebie i w każdym mamy taką samą szansę na sukces!
Schemat Bernoulliego opisuje sytuację, w której przeprowadzamy n niezależnych prób, a każda z nich ma:
Schemat Bernoulliego jest istotnym elementem podstawy programowej z matematyki na poziomie rozszerzonym, dlatego uczniowie przygotowujący się do matury muszą go dobrze opanować. Zagadnienie to w ostatnich latach dosyć często pojawia się w zadaniach dotyczących prawdopodobieństwa!
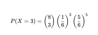
Wykonujemy 8 rzutów kostką. Oblicz prawdopodobieństwo, że dokładnie 3 razy wypadnie 6.
Dane:

Prawdopodobieństwo, że podczas jednego testu czujnik wykryje błąd, wynosi p=0,1.
Oblicz prawdopodobieństwo, że w 6 próbach czujnik wykryje błąd przynajmniej raz.

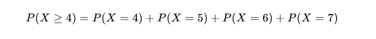
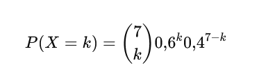
Wykonujemy 7 prób, każda z prawdopodobieństwem sukcesu p=0,6.
Oblicz prawdopodobieństwo, że sukcesów będzie więcej niż porażek.
Czyli szukamy:


Schemat Bernoulliego to fundament rachunku prawdopodobieństwa – prosty w założeniach, ale niezwykle potężny w zastosowaniach. Pozwala modelować sytuacje, w których interesuje nas liczba sukcesów w określonej liczbie prób, a każda z nich ma tylko dwa możliwe wyniki. Choć idea może wydawać się teoretyczna, to właśnie na niej opiera się ogromna część współczesnych badań statystycznych:
Dzięki jednemu wzorowi możesz obliczyć prawdopodobieństwo dowolnej konfiguracji wyników – od wyrzucenia pięciu orłów w dziesięciu rzutach, po wykrycie błędu przez czujnik w serii testów. To właśnie ta uniwersalność sprawia, że schemat Bernoulliego regularnie pojawia się w zadaniach maturalnych: pozwala sprawdzić, czy uczeń nie tylko zna wzory, ale przede wszystkim rozumie zależności między nimi.
Dobrze opanowany schemat Bernoulliego to realna przewaga na egzaminie. Pomaga uporządkować myślenie o zadaniach z prawdopodobieństwa, skraca czas liczenia i pozwala uniknąć typowych błędów – jak mylenie liczby prób z liczbą sukcesów czy błędne traktowanie potęg pi 1-p. Połączenie teorii, przykładów i zadań z rozwiązaniami sprawia, że to zagadnienie staje się nie tylko zrozumiałe, ale wręcz intuicyjne.
W Indeksie w Kieszeni oferujemy kompleksowe kursy maturalne z matematyki – zarówno na poziomie podstawowym, jak i rozszerzonym! Sprawdź naszą ofertę i rozpocznij przygotowania, które pomogą Ci osiągnąć wymarzony wynik.
To model probabilistyczny opisujący liczbę sukcesów w serii niezależnych prób, gdzie każda próba ma stałe prawdopodobieństwo sukcesu p i dwa możliwe wyniki.
Gdy spełnione są trzy warunki:
Niczym – to dwie nazwy tego samego pojęcia.

Strona przygotowana przez Zyskowni.pl

Zakładamy Ci konto na naszej platformie e-learningowej, na której znajdują się materiały, artykuły popularnonaukowe, czy nagrania video! Możesz tam bez ograniczeń kontaktować się ze swoim Opiekunem. Odpowiada on na Twoje pytania i sprawdza wysyłane do sprawdzenia prace.

Na platformie otrzymujesz moduły - zestawy materiałów z prezentacjami, skryptami, testami, kartkówkami. Z nimi pracujesz w dowolnym miejscu - w domu, w podróży, w bibliotece.

Na platformie, gdzie odbywa się kurs możesz zadawać pytania 24h na dobę 7 dni w tygodniu - Prowadzący są tam po to by zawsze Ci pomóc i rozwiać Twoje wątpliwości.

Twój progres w nauce jest kontrolowany wraz z każdym kolejnym modułem - służą temu wszelkie kartkówki, testy i sprawdziany, które rozwiązane odsyłasz i otrzymujesz szczegółowy klucz.

Celujesz w świetny wynik na egzaminie ósmoklasisty? A może potrzebujesz tylko usystematyzować posiadaną wiedzę? Nieważne - nasz kurs (tempo pracy i materiały oraz pomoc Prowadzącego) jest zawsze dopasowany do aktualnego stanu Twoich umiejętności i oczekiwań.

Na platformie otrzymasz nielimitowany w okresie przygotowań dostęp do nagrań video, na których nasz zespół merytoryczny przeprowadzi Cię przez najbardziej wymagające i najczęściej pojawiające się na arkuszu zagadnienia egzaminacyjne.
Indywidualny kurs e-learningowy
egzamin ósmoklasisty
Wolisz uczyć się we własnym tempie i na własnych zasadach? W takim razie kurs e-learningowy jest stworzony właśnie dla Ciebie!
Nowoczesna forma indywidualnej nauki zdalnej (start: natychmiast lub we wskazanym terminie)
Dostęp do dedykowanej platformy do nauki e-learningowej
Harmonogram przygotowań dostosowany do dostępności ucznia
Przypisany opiekun merytoryczny prowadzący kurs
Komplet materiałów podzielonych na moduły tematyczne, a w każdym z nich: prezentacje, testy, kartkówki, skrypty, karty pracy i zadania egzaminacyjne
Materiały video – do kursu dołączone są nagrania video, na których członkowie zespołu merytorycznego IWK tłumaczą najtrudniejsze lub najbardziej prawdopodobne w wystąpieniu na egzaminie zagadnienia
Indywidualne podejście – otrzymujesz dostęp do naszej dedykowanej platformy edukacyjnej z pomocami naukowymi, na której możesz bez ograniczeń kontaktować się ze swoim Opiekunem. Odpowiada on na Twoje pytania i sprawdza wysyłane prace.
Regularnie sprawdzane postępy
Ciągła możliwość kontaktu z Prowadzącym
Dzięki nowoczesnej formie nauki nasze kursy są dostępne dla uczniów z całej Polski – możesz dołączyć do nich niezależnie od miejsca zamieszkania i zacząć przygotowania już dziś! Skontaktuj się z nami i nie odkładaj decyzji na później – do egzaminu ósmoklasisty coraz bliżej!
Grupowy kurs całoroczny
egzamin ósmoklasisty
Chcesz solidnie przygotować się do egzaminu ósmoklasisty? Wolisz regularne zajęcia w grupie i stałe wsparcie prowadzącego? Jeśli tak, kurs grupowy będzie idealnym wyborem dla Ciebie!
46 godzin lekcyjnych zajęć (23 spotkania) + prace domowe
Forma stacjonarna (w salach w Warszawie) lub webinarowa (zajęcia online na żywo)
Nagrania z zajęć webinarowych oraz nagrania umożliwiające nadrobienie materiału osobom zapisującym się po rozpoczęciu kursów stacjonarnych
Możliwość wyboru grupy zajęciowej (harmonogram pojawi się w lipcu 2026 r.)
Pomoc pomiędzy zajęciami – ciągła możliwość kontaktu z Prowadzącym przez dedykowaną grupę zajęciową
Materiały z zajęć w formie cyfrowej
Regularne zajęcia pomagają utrzymać systematyczność w nauce i realnie wpływają na lepsze wyniki na egzaminie ósmoklasisty. Co roku wielu naszych uczniów z różnych części Polski osiąga wysokie rezultaty. Zapisz się na zajęcia już dziś i przygotuj się z nami do egzaminu ósmoklasisty!